1. 비회전 유동의 의미와 수학적 정의
비회전 유동이라는 것은 어떤 것일까요?
비회전 유동이라는 것은 유체 입자가 회전하지 않고 운동하는 유동을 의미합니다.
유선이 곡선이지만 유체입자는 회전하지 않고 유선을 따라 흐를 수 있습니다.
유선이 직선이지만 유체입자는 회전하며 유선을 따라 흐를 수도 있습니다.

비회전 유동일 때 베르누이 방정식의 제약조건 유선을 따라서만 적용 가능함이 사라지고, 속도포텐셜이 존재할 수 있습니다.
2. 비회전 유동의 베르누이방정식
비점성 유체를 가정한 오일러 운동방정식에서 정상상태가정, 비압축성 가정을 하였을 때 V X 델 X V (X:크로스곱)을 0으로 만들기 위해 유선방향의 미소길이 ds를 곱했지만 비회전일 경우 델 X V = 0 이므로 ds가 굳이 유선방향이 아니여도 된다. 따라서 유동장 전체에 걸쳐서 베르누이방정식을 적용할 수 있다.

3. 속도 포텐셜
속도 포텐셜은 마치 보존력이 작용할 때 존재하는 포텐셜의 개념과 유사합니다.
Potential Theory (퍼텐셜 이론)
지난번 뉴턴 1,2,3법칙의 연관성 글과 3차원에서의 에너지보존, 위치에너지 정의 글에서 퍼텐셜에너지를 다루었습니다. 역학적에너지 보존법칙과 위치에너지정의, 그리고 미분방정식 들어가기 �
needs-searcher.tistory.com
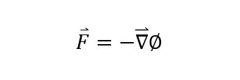
간단히 정리하자면 3차원공간에서 위치에너지를 정의하기를 어떤 Scalar값(위치에너지)를 변위에 대해 미분하고 -를 곱한 값이 작용하는 힘이 될 때 공간상 두 지점사이를 하나의 함수, Potential로 정의할 수 있었고 그 힘 F = -gradient(V) 이므로 Curl(F)=0를 만족했습니다. 따라서 보존력인지 아닌지 확인하는 방법은 Curl(F)=0인지 확인하는 것이었습니다.
가정1. 비회전유동
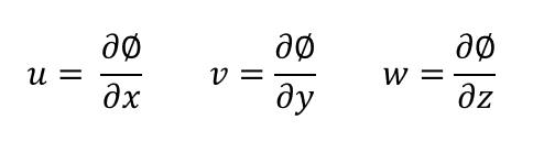
마찬가지로 오늘 배운 유체의 속도장이 Curl(속도장 벡터)=0을 만족하는 비회전유동일 경우 해당 속도장의 Potential이 존재하고 이를 속도포텐셜이라 정의합니다. Curl(속도장 벡터)=0을 만족하기 위해서는 속도장벡터는 스칼라값의 미분이어야 합니다. 이를 표현한 것이 속도 포텐셜의 정의와 같습니다.


이 식은 위치에너지가 정의 되기 위한 필요충분조건과 거의 똑같습니다.

4. 유동함수와의 비교
유동함수를 통해 유량을 계산하고 원통좌표계로 표현하기
정상, 비정상, 압축성, 비압축성 모두에서 유효한 연속방정식에서 시작합니다. 여기서 정상상태, 비압축성, 평면, 즉 2차원 유동으로 가정합니다. 이는 가장 단순하면서도 실제에 유용하며 파이�
needs-searcher.tistory.com
유동함수는 연속방정식으로 부터
가정1. 정상상태
가정2. 비압축성
가정3. 평면(2차원) 유동
이 3가지 조건을 취한 연속방정식에서 2차원 평면상에서 위치에 대해 하나의 스칼라 값을 가지는 함수를 정의하여 공간상에서 유동함수를 이용해 유동의 운동, 속도를 나타내었고 유선을 그릴 수 있었으며 유량역시 구할 수 있었습니다.
속도퍼텐셜은 비회전유동에 기인합니다.
그리고 이 속도퍼텐셜을 통해서 유동함수가 못하는 3차원에서의 유체운동을 나타낼 수 있습니다.
5. 라플라스 방정식

위의 연속방정식으로부터
가정1. 비압축성
을 적용하면 아래 식과 같습니다.

가정2. 비회전 유동일때 속도퍼텐셜이 존재하고 이를 위 연속방정식에 대입하면 라플라스방정식입니다.

정리하면
가정1. 비압축성
가정2. 비회전 유동
의 경우에 라플라스 방정식을 쓸 수 있으며
가정3. 비점성 유체 를 추가하면 전체 유동장에 대해 베르누이방정식을 적용할 수 있습니다.
감사합니다.
기계공학 전공 재료 열 유체 동 역학 응용역학 상담 드립니다. | 5000원부터 시작 가능한 총 평점 0
0개 총 작업 개수 완료한 총 평점 0점인 니즈서쳐의 직무역량, 기타 직무역량 레슨 서비스를 0개의 리뷰와 함께 확인해 보세요. 직무역량, 기타 직무역량 레슨 제공 등 5000원부터 시작 가능한 서
kmong.com
출처)
YOUNG MUNSON OKIISHI HUEBSCH 쉽게배우는 유체역학 5판 (WILEY, 홍릉과학출판사)
금오공대 KOCW 유체역학2 박준영 교수님 비점성유동
http://www.kocw.net/home/cview.do?lid=dd24d2e7aa7876ab
유체역학2
본 과제는 공학분야 중에 기본 소양과목에 해당하는 유체역학에 대한 원거리 교육 및 능동적인 자가 학습이 가능한 Interactive교육을 제공하고 유체역학1과 2의 연계에 의한 학습효과 상승을 그 ��
www.kocw.net
'기계공학부 시절의 기록 > 유체역학2' 카테고리의 다른 글
| 오일러 운동방정식으로부터 베르누이방정식 유도 (0) | 2020.06.01 |
|---|---|
| 오일러 운동방정식(Euler motion equation) 유도하기 (0) | 2020.06.01 |
| 미분형 선형운동량 방정식, 왜 필요해? (0) | 2020.05.13 |
| 유동함수를 통해 유량을 계산하고 원통좌표계로 표현하기 (0) | 2020.05.11 |
| 질량보존법칙에서 연속방정식을 유도하고 미분형으로 나타내기 (2) | 2020.05.11 |
댓글