선형운동량방정식은 검사체적, 미분을 이용해 각각 나타낼 수 있습니다.
검사체적 선형운동량방정식
유체의 운동을 관찰하고 그로부터 유체의 움직임에 의해 수로관이나 비행기의 날개가 받는 힘을 우리는 유체의 선형운동량방정식을 통해서 구할 수 있습니다.
예를 들어서 유체가 흐르는 수로관이 있습니다. 유체가 흐르기 때문에 수로관을 고정시키기 위한 힘을 알면 효율적으로 수로관 고정 설계를 할 수 있습니다. 이 때는 수로관 내부의 세세한 유동보다는 수로관 입출입구의 표면에서의 조건들만을 이용해 그 힘을 구할 수 있습니다. 이것이 바로 유동 내부보다는 검사체적의 표면에 집중한 선형운동량방정식이며 대부분의 경우 이러한 방법을 적용할 수 있습니다.

미분형 선형운동량 방정식
하지만 유체가 파이프 내부에서 속도가 어떻게 변하는지, 비행기 날개표면에는 어떤 영향을 주는지와 같은 경우에는 매우 세세한 분석이 필요합니다. 이 때 미분형 선형운동량 방정식이 쓰입니다.

미분형 선형운동량 방정식 유도

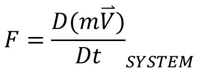
위 식에서부터 출발합니다. (외부힘이 운동량의 변화를 일으킴은 아래 글에서 이해할 수 있습니다.)
뉴턴 제1,2,3법칙의 연관성과 운동량보존법칙
역학이란 원인(힘)과 현상(궤적, 시간에 따른 위치함수)을 연결한다. 위치함수를 표현하기 위한 기준, 좌표계가 필요하다. 뉴턴의 제 1법칙, 2법칙, 3법칙은 긴밀히 연관되어 있으며 제 3법칙으로�
needs-searcher.tistory.com
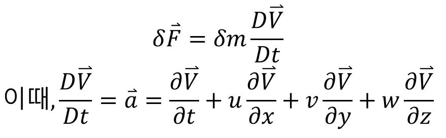
아주 미세한 유체를 살피기 위해 미소질량 델타m을 가진 유체를 생각합니다.
이 미소 유체는 델타F를 받고 매우 미소한 질량이므로 델타m은 상수취급할 수 있습니다.

F=ma입니다. 먼저 좌변, 미소 유체 질량에 작용하는 총 힘을 구하고 이것이 ma이다!(뉴턴 제 2법칙)
이것이 큰 줄기입니다.
총 힘을 구하기 위해 어떤 힘들이 작용하는지 알아보겠습니다. 기계과에서 다루는 힘은 크게 체적력과 장력, 이 2가지로 나뉩니다.

미소 질량을 가진 미소 유체에 대해서 표면력을 응력의 개념을 이용하여 구합니다.(응력=힘/면적 ---> 힘=응력*면적)
이후는 필기를 첨부하겠습니다!



좌변은 본 글에서 구한 힘들의 합, 우변은 유체의 운동학에서 물질미분으로 구했던 유체의 가속도입니다.
감사합니다.
출처)
YOUNG MUNSON OKIISHI HUEBSCH 쉽게배우는 유체역학 5판 (WILEY, 홍릉과학출판사)
참고)금오공대 KOCW 유체역학2 박준영 교수님 선형운동량보존
유체역학2
본 과제는 공학분야 중에 기본 소양과목에 해당하는 유체역학에 대한 원거리 교육 및 능동적인 자가 학습이 가능한 Interactive교육을 제공하고 유체역학1과 2의 연계에 의한 학습효과 상승을 그 ��
www.kocw.net
'기계공학부 시절의 기록 > 유체역학2' 카테고리의 다른 글
| 오일러 운동방정식으로부터 베르누이방정식 유도 (0) | 2020.06.01 |
|---|---|
| 오일러 운동방정식(Euler motion equation) 유도하기 (0) | 2020.06.01 |
| 유동함수를 통해 유량을 계산하고 원통좌표계로 표현하기 (0) | 2020.05.11 |
| 질량보존법칙에서 연속방정식을 유도하고 미분형으로 나타내기 (2) | 2020.05.11 |
| 유체입자의 운동학 : 각변형(Angular deformation) (0) | 2020.05.06 |
댓글