지금까지 크게 두가지를 공부했습니다.
질량보존으로부터 연속방정식을 공부했고
질량보존법칙에서 연속방정식을 유도하고 미분형으로 나타내기
흐르는 유체에서 특정 질량의 유체를 시스템으로 정의하면 그 시스템의 질량은 당연히 변하지 않습니다. 이를 지난 글에서 다룬 물질미분으로 표현하면 다음과 같습니다. 이제 레이놀즈수송정�
needs-searcher.tistory.com
뉴턴 제2법칙으로부터의 운동방정식을 공부했습니다.
미분형 선형운동량 방정식, 왜 필요해?
선형운동량방정식은 검사체적, 미분을 이용해 각각 나타낼 수 있습니다. 검사체적 선형운동량방정식 유체의 운동을 관찰하고 그로부터 유체의 움직임에 의해 수로관이나 비행기의 날개가 받는
needs-searcher.tistory.com
오늘은 뉴턴 2법칙으로부터의 운동방정식에 비점성 조건을 추가하여 오일러 운동방정식을 유도할 것입니다.
운동방정식

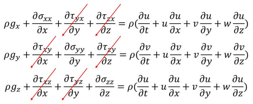
위 식이 바로 지난 뉴턴 제 2법칙으로부터 구한 유체의 운동방정식입니다.
가정1. 비점성 유체
여기에 비점성 조건을 가정합니다.
점성이 큰 유체는 꿀과 같이 끈적한 유체입니다. 이러한 점성을 무시할 수 있는 유체에는 물과 공기를 예로 들 수 있는데요, 비점성을 가정한다는 것은 전단응력을 무시하겠다는 의미입니다. 따라서 타우가 있는 항은 모두 소거가 됩니다.

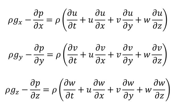
또, 전단응력이 없는 유체 내의 한 점에 작용하는 수직응력은 모든 방향에 대해 동일하다.(파스칼의 정리)에 의해 x,y,z축방향의 수직응력들은 모두 -압력인 -p로 표현될 수 있습니다. 이 때의 -는 응력의 +는 인장이지만 압력의 +방향은 압축이기 때문입니다.
이를 적용하면 아래와 같습니다.
오일러 운동방정식

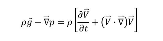
이를 벡터를 이용해 간단히 표현하면 아래와 같습니다.

이 오일러 운동방정식은 비점성 유체를 가정한 것임을 유의하여야 합니다.
다음글에서는 이 오일러 운동방정식으로부터 수학적 변환을 통해 베르누이방정식을 유도하도록 하겠습니다.
감사합니다.
기계공학 전공 재료 열 유체 동 역학 응용역학 상담 드립니다. | 5000원부터 시작 가능한 총 평점 0
0개 총 작업 개수 완료한 총 평점 0점인 니즈서쳐의 직무역량, 기타 직무역량 레슨 서비스를 0개의 리뷰와 함께 확인해 보세요. 직무역량, 기타 직무역량 레슨 제공 등 5000원부터 시작 가능한 서
kmong.com
출처)
YOUNG MUNSON OKIISHI HUEBSCH 쉽게배우는 유체역학 5판 (WILEY, 홍릉과학출판사)
금오공대 KOCW 유체역학2 박준영 교수님 비점성유동
http://www.kocw.net/home/cview.do?lid=dd24d2e7aa7876ab
유체역학2
본 과제는 공학분야 중에 기본 소양과목에 해당하는 유체역학에 대한 원거리 교육 및 능동적인 자가 학습이 가능한 Interactive교육을 제공하고 유체역학1과 2의 연계에 의한 학습효과 상승을 그 ��
www.kocw.net
'기계공학부 시절의 기록 > 유체역학2' 카테고리의 다른 글
| 비회전 유동일 때, 베르누이(Bernoulli)방정식과 속도 포텐셜 (2) | 2020.06.01 |
|---|---|
| 오일러 운동방정식으로부터 베르누이방정식 유도 (0) | 2020.06.01 |
| 미분형 선형운동량 방정식, 왜 필요해? (0) | 2020.05.13 |
| 유동함수를 통해 유량을 계산하고 원통좌표계로 표현하기 (0) | 2020.05.11 |
| 질량보존법칙에서 연속방정식을 유도하고 미분형으로 나타내기 (2) | 2020.05.11 |
댓글